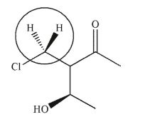
Are the two hydrogens indicated homotopic, enantiotopic, or diastereotopic? 
Correct Answer:
Verified
Q52: Which carbon in this molecule will have
Q53: If a solution with an absorbance of
Q54: The indole side chain of tryptophan (the
Q55: A compound with four degrees of unsaturation
Q56: Which of the following compounds corresponds to
Q58: Two constitutional isomers of phenolphthalein are shown
Q59: Which carbon in this molecule will have
Q60: The IR, 1H NMR, and
Q61: A compound with one degree of unsaturation
Q62: A compound with three degrees of unsaturation
Unlock this Answer For Free Now!
View this answer and more for free by performing one of the following actions
Scan the QR code to install the App and get 2 free unlocks
Unlock quizzes for free by uploading documents