Solved

Figure: Coffee and Comic Books Reference: Ref 23-2 (Figure

Question 9

Multiple Choice

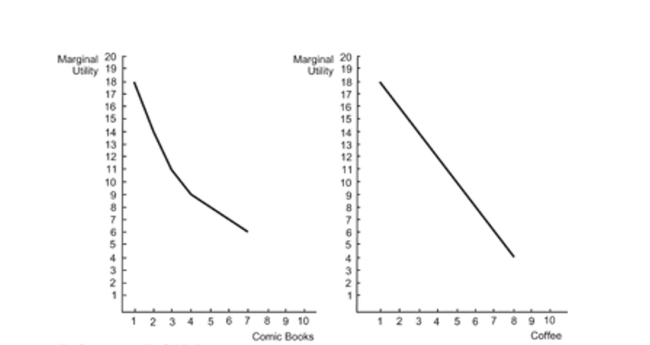
Figure: Coffee and Comic Books Figure: Coffee and Comic Books   Reference: Ref 23-2 (Figure: Coffee and Comic Books)  Refer to the figure. The price of comic books is $0.50. Using the diagram, the marginal utility per dollar for the third comic book is: A)  11. B)  5.5. C)  22. D)  11.5. Reference: Ref 23-2 (Figure: Coffee and Comic Books) Refer to the figure. The price of comic books is $0.50. Using the diagram, the marginal utility per dollar for the third comic book is:


A) 11.
B) 5.5.
C) 22.
D) 11.5.

Correct Answer:

verifed

Verified

Unlock this answer now
Get Access to more Verified Answers free of charge

Related Questions

Unlock this Answer For Free Now!

View this answer and more for free by performing one of the following actions

qr-code

Scan the QR code to install the App and get 2 free unlocks

upload documents

Unlock quizzes for free by uploading documents