Services
Discover
Question 142
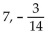
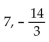
Solve.-(y - 7) (3y + 14) = 0
A) B) C) D)
Correct Answer:
Verified
Unlock this answer nowGet Access to more Verified Answers free of charge
Q137: Factor completely.-Q138: Factor the sum or difference of twoQ139: Factor completely.-Q140: Factor completely.-Q141: Determine whether the equation is a quadraticQ143: Solve.-x(6x + 30) = 0A) 0, -5B)Q144: Determine whether the quadratic equation is inQ145: Solve.-x(x + 12) = 0A) 0, 12B)Q146: Determine whether the equation is a quadraticQ147: Solve.-(x - 5)(x + 8) = 0A)Unlock this Answer For Free Now!View this answer and more for free by performing one of the following actionsScan the QR code to install the App and get 2 free unlocksMaximize QR codeUnlock quizzes for free by uploading documentsUpload documents
Q138: Factor the sum or difference of two
Q139: Factor completely.-Q140: Factor completely.-Q141: Determine whether the equation is a quadraticQ143: Solve.-x(6x + 30) = 0A) 0, -5B)Q144: Determine whether the quadratic equation is inQ145: Solve.-x(x + 12) = 0A) 0, 12B)Q146: Determine whether the equation is a quadraticQ147: Solve.-(x - 5)(x + 8) = 0A)
Q140: Factor completely.-Q141: Determine whether the equation is a quadraticQ143: Solve.-x(6x + 30) = 0A) 0, -5B)Q144: Determine whether the quadratic equation is inQ145: Solve.-x(x + 12) = 0A) 0, 12B)Q146: Determine whether the equation is a quadraticQ147: Solve.-(x - 5)(x + 8) = 0A)
Q141: Determine whether the equation is a quadratic
Q143: Solve.-x(6x + 30) = 0A) 0, -5B)
Q144: Determine whether the quadratic equation is in
Q145: Solve.-x(x + 12) = 0A) 0, 12B)
Q146: Determine whether the equation is a quadratic
Q147: Solve.-(x - 5)(x + 8) = 0A)
Unlock this Answer For Free Now!
View this answer and more for free by performing one of the following actions
Scan the QR code to install the App and get 2 free unlocks
Unlock quizzes for free by uploading documents