Solved

Figure 3-20 Refer to Figure 3-20

Question 291

Multiple Choice

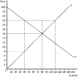
Figure 3-20 Figure 3-20   Refer to Figure 3-20. At the equilibrium price, consumer surplus is A)  $480. B)  $640. C)  $1,120. D)  $1,280. Refer to Figure 3-20. At the equilibrium price, consumer surplus is


A) $480.
B) $640.
C) $1,120.
D) $1,280.

Correct Answer:

verifed

Verified

Unlock this answer now
Get Access to more Verified Answers free of charge

Related Questions

Unlock this Answer For Free Now!

View this answer and more for free by performing one of the following actions

qr-code

Scan the QR code to install the App and get 2 free unlocks

upload documents

Unlock quizzes for free by uploading documents