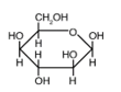
The structure below shows a Fischer projection of D-Idose.
Which of the structures below represents -D-Idopyranose?
A) 
B) 
C) 
D) 
E)
Correct Answer:
Verified
Q1: The molecular formula for a monosaccharide is
Q2: Glucose and galactose are _ of each
Q3: Which of the monosaccharides seen below are
Q5: In the following structure, which carbon is
Q6: The _ sugars are monosaccharides in which
Q7: Any sugar that has a free aldehyde
Q8: Describe the properties, structures, and functions of
Q9: The disaccharide commonly found in dairy products
Q10: Amylopectin contains primarily _ glycosidic bonds
Q11: Which of the following is the
Unlock this Answer For Free Now!
View this answer and more for free by performing one of the following actions
Scan the QR code to install the App and get 2 free unlocks
Unlock quizzes for free by uploading documents