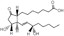
Which functional group is NOT contained in prostaglandin E1? 
A) ketone
B) 2o alcohol
C) 3o alcohol
D) carboxylic acid
E) alkene
Correct Answer:
Verified
Q24: Which compound is a ketone?
A) 
Q25: Which compound is an ester? 
Q26: The compound shown below is a synthetic
Q27: Which is a 3o alkyl halide?
Q28: Which is the 3o amine? 
Q30: The compound below is an adrenocortical hormone
Q31: The compound shown below is a substance
Q32: Drawn below is Atropine, found in Atropa
Q33: The compound shown below is the male
Q34: Which is a carboxylic acid? 
Unlock this Answer For Free Now!
View this answer and more for free by performing one of the following actions
Scan the QR code to install the App and get 2 free unlocks
Unlock quizzes for free by uploading documents