Short Answer
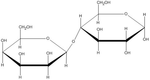
Draw the products of the hydrolysis of this disaccharide.

Correct Answer:
Verified
Related Questions
Q80: When an amide bond is formed between
Q81: The amide bond formed between two amino
Q82: Draw the tetra peptide: ala-lys-glu-ser. Label the
Q83: Why is hydrolysis considered to be the
Q84: What do the formation of an ether
Q86: What is the secondary structure of a
Q87: The hydrogen bonds that stabilize the alpha
Q88: In a salt bridge the interaction is
Q89: In a disulfide bond, the interaction is
Q90: What is the tertiary structure of a
Unlock this Answer For Free Now!
View this answer and more for free by performing one of the following actions
Scan the QR code to install the App and get 2 free unlocks
Unlock quizzes for free by uploading documents