Use implicit differentiation to find dy/dx.
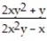
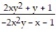
-xy + x + y = x2y2
A) 
B) 
C) 
D) 
Correct Answer:
Verified
Q240: Use implicit differentiation to find dy/dx.
-2xy -
Q241: Use implicit differentiation to find dy/dx.
-x3 +
Q242: Use implicit differentiation to find dy/dx.
-
Q243: Use implicit differentiation to find dy/dx.
-y
Q244: Use implicit differentiation to find dy/dx.
-xy +
Q246: Use implicit differentiation to find dy/dx.
-
Q247: Use implicit differentiation to find dy/dx.
-cos xy
Q248: Use implicit differentiation to find dy/dx.
-y cos
Q249: Use implicit differentiation to find dy/dx.
-x =
Q250: Use implicit differentiation to find dy/dx.
-
Unlock this Answer For Free Now!
View this answer and more for free by performing one of the following actions
Scan the QR code to install the App and get 2 free unlocks
Unlock quizzes for free by uploading documents