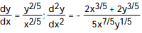
Use implicit differentiation to find dy/dx and y/d
. 
-
+
= 4
A) 
B) 
C) 
D) 
Correct Answer:
Verified
Q259: Use implicit differentiation to find dy/dx and
Q260: Use implicit differentiation to find dy/dx and
Q261: Use implicit differentiation to find dy/dx and
Q262: Use implicit differentiation to find dy/dx and
Q263: Use implicit differentiation to find dy/dx and
Q265: Use implicit differentiation to find dy/dx and
Q266: Find dy/dx by implicit differentiation.
-x4/3 + y4/3
Q267: Find dy/dx by implicit differentiation.
-x1/3 - y1/3
Q268: At the given point, find the line
Q269: At the given point, find the line
Unlock this Answer For Free Now!
View this answer and more for free by performing one of the following actions
Scan the QR code to install the App and get 2 free unlocks
Unlock quizzes for free by uploading documents