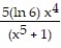
Find the derivative of the function.
-f(x) =
(
+ 1)
A) 
B) 
C) + 5

D) 
Correct Answer:
Verified
Q294: Find the derivative of the function.
-y =
Q295: Find the derivative of the function.
-y =
Q296: Find the derivative of the function.
-y =
Q297: Find the derivative of the function.
-y =
Q298: Find the derivative of the function.
-f(x) =
Q300: Use logarithmic differentiation to find the derivative
Q301: Use logarithmic differentiation to find the derivative
Q302: Use logarithmic differentiation to find the derivative
Q303: Use logarithmic differentiation to find the derivative
Q304: Use logarithmic differentiation to find the derivative
Unlock this Answer For Free Now!
View this answer and more for free by performing one of the following actions
Scan the QR code to install the App and get 2 free unlocks
Unlock quizzes for free by uploading documents