Multiple Choice
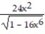
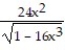
Find the derivative of y with respect to x.
-y = 2
( 4
)
A) 
B) 
C) 
D) 
Correct Answer:
Verified
Related Questions
Q326: Find the derivative of y with respect
Q327: Find the derivative of y with respect
Q328: Find the derivative of y with respect
Q329: Find the derivative of y with respect
Q330: Find the derivative of y with respect
Q332: Find the derivative of y with respect
Q333: Find the derivative of y with respect
Q334: Find the derivative of y with respect
Q335: Find the derivative of y with respect
Q336: Find the value of ![]()
Unlock this Answer For Free Now!
View this answer and more for free by performing one of the following actions
Scan the QR code to install the App and get 2 free unlocks
Unlock quizzes for free by uploading documents