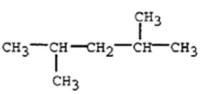
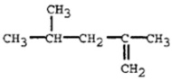
Which one of the following is NOT an isomer of the others?
A) 
B) 
C) 
D) 
Correct Answer:
Verified
Q64: A(n) _ is a polymer.
A) monosaccharide
B) amino
Q65: A lipid molecule composed of interlocking carbon
Q66: A(n) _ bond is formed between the
Q67: The missing product below is 
Q68: The reaction below represents a _ reaction.
Q70: The empirical formula for the structural formula
Q71: Cell membranes, muscle cells, and tendons contain
Q72: A sugar with three carbon atoms is
Q73: Molecules with the same empirical formula but
Q74: The molecule below ![]()
Unlock this Answer For Free Now!
View this answer and more for free by performing one of the following actions
Scan the QR code to install the App and get 2 free unlocks
Unlock quizzes for free by uploading documents