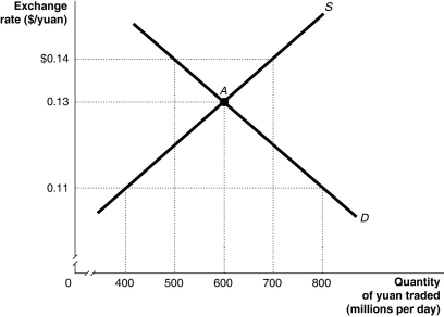
Figure 30-5

-Refer to Figure 30-5.The Chinese government pegs the yuan to the dollar,at one of the specified exchange rates on the graph,such that it undervalues its currency.Using the figure above,this would generate a
A) a shortage of yuan equal to 400 million.
B) a shortage of yuan equal to 200 million.
C) a surplus of yuan equal to 200 million.
D) a surplus of yuan equal to 400 million.
E) a surplus of yuan equal to 300 million.
Correct Answer:
Verified
Q60: By 2011,how many European countries were members
Q81: You are made better off in which
Q83: Should European nations which are not currently
Q88: Figure 30-4 Q89: Figure 30-4 Q90: Figure 30-3 Q92: A currency pegged at a value below Q98: Which of the following is not an Q115: During the Chinese experience with pegging the Q116: Figure 30-5 Unlock this Answer For Free Now! View this answer and more for free by performing one of the following actions Scan the QR code to install the App and get 2 free unlocks Unlock quizzes for free by uploading documents![]()
![]()
![]()
![]()