Solved

Figure 4-6 Figure 4-6 Shows the Demand and Supply

Question 157

Multiple Choice

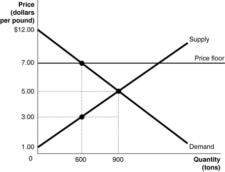
Figure 4-6 Figure 4-6   Figure 4-6 shows the demand and supply curves for the coffee market.The government believes that the equilibrium price is too low and tries to help almond growers by setting a price floor at $7.00. -Refer to Figure 4-6.What is the value of the deadweight loss after the imposition of the price floor? A) $600 B) $1,800 C) $2,700 D) $3,300 Figure 4-6 shows the demand and supply curves for the coffee market.The government believes that the equilibrium price is too low and tries to help almond growers by setting a price floor at $7.00.
-Refer to Figure 4-6.What is the value of the deadweight loss after the imposition of the price floor?


A) $600
B) $1,800
C) $2,700
D) $3,300

Correct Answer:

verifed

Verified

Unlock this answer now
Get Access to more Verified Answers free of charge

Related Questions

Unlock this Answer For Free Now!

View this answer and more for free by performing one of the following actions

qr-code

Scan the QR code to install the App and get 2 free unlocks

upload documents

Unlock quizzes for free by uploading documents