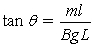
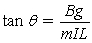
Multiple Choice
FIGURE 22-5 
-A metal bar of mass m and length L is suspended from two conducting wires, as shown in the sketch in Figure 22-5. A uniform magnetic field
points vertically downward. Choose the expression that best describes the condition satisfied by the angle θ that the suspending wires make with the vertical when the bar carries a current I.
A) 
B) 
C) 
D) 
E) 
Correct Answer:
Verified
Related Questions