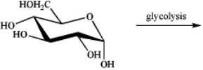
Draw the structure of the ultimate organic glycolysis product of a-glucose. 
Correct Answer:
Verified
Q11: Which of the following are not involved
Q16: If gluconeogenesis were the exact reverse of
Q20: Which group of small molecules best fit
Q21: Which of the reactions of the citric
Q21: The enzyme pyruvate carboxylase
A) is not subject
Q23: Which group of small molecules best fit
Q24: Instructions: Consider the reaction below to answer
Q29: Draw and name the major product of
Q32: The citric acid cycle is considered to
Q40: When acetyl-CoA reacts with oxaloacetate to form
Unlock this Answer For Free Now!
View this answer and more for free by performing one of the following actions
Scan the QR code to install the App and get 2 free unlocks
Unlock quizzes for free by uploading documents