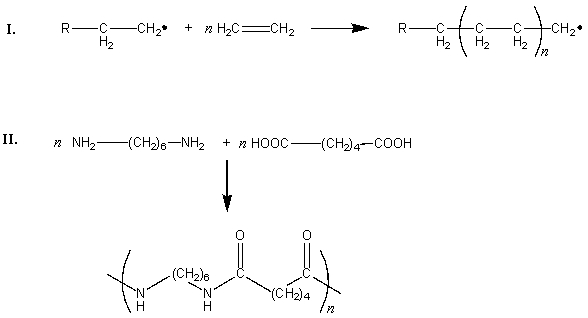
Which polymerization shown takes place by a condensation reaction? 
A) I only
B) II only
C) I and II
D) None of the above
Correct Answer:
Verified
Q1: A polymer made in a polymerization reaction
Q2: Which of the following polymers has an
Q3: The only true hydrocarbon polymer found in
Q5: Which option represents a cross-linked polymer?
Q7: Acrylonitrile results from the polymerization of
Q7: A protein is
A) a polysaccharide.
B) a saturated
Q9: Poly(vinyl chloride)results from the polymerization of
Q10: Polypropene results from the polymerization of
Q11: Which polymerization shown takes place by a
Q13: What structural feature is required to have
Unlock this Answer For Free Now!
View this answer and more for free by performing one of the following actions
Scan the QR code to install the App and get 2 free unlocks
Unlock quizzes for free by uploading documents