Related Questions
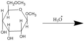
Q81: When α-D-xylofuranose is treated with excess methyl
Q82: Give the name for the following compound.
Q84: Give the common name for the following
Q86: Provide the major organic product(s)of the reaction
Unlock this Answer For Free Now!
View this answer and more for free by performing one of the following actions
Scan the QR code to install the App and get 2 free unlocks
Unlock quizzes for free by uploading documents
