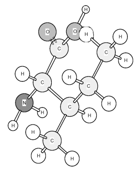
Identify the amino acid shown below. 
A) Alanine (Ala)
B) Glycine (Gly)
C) Isoleucine (Ile)
D) Leucine (Leu)
Correct Answer:
Verified
Q138: To which family does this organic compound
Q139: What is the IUPAC name of the
Q140: To which family does this organic compound
Q141: To which family does this organic compound
Q142: To which family does this organic compound
Q144: Identify the amino acid shown below.
Q145: Is the following model of glucose in
Q146: Identify the amino acid shown below.
Q147: Identify the amino acid shown below.
Q148: Identify the amino acid shown below.
Unlock this Answer For Free Now!
View this answer and more for free by performing one of the following actions
Scan the QR code to install the App and get 2 free unlocks
Unlock quizzes for free by uploading documents