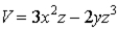
For the potential 
,what is the corresponding electric field at the point (2,2,2) ?
A) 
B) 
C) 
D) 
E) The correct answer is not given.
Correct Answer:
Verified
Q81: Four electrons move from point A to
Q81: A system consisting of a negatively-charged particle
Q83: The electric potential at the surface of
Q84: Four electrons move from point A to
Q85: When introduced into a region where an
Q88: An infinite plane of charge with
Q90: When introduced into a region where an
Q91: An infinite plane of charge with
Q92: To recharge a 12-V battery, a battery
Q100: The Bohr model pictures a hydrogen atom
Unlock this Answer For Free Now!
View this answer and more for free by performing one of the following actions
Scan the QR code to install the App and get 2 free unlocks
Unlock quizzes for free by uploading documents