Multiple Choice
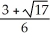
Which of the following is a root of
- 3x - 1 = 0?
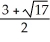
A) 
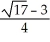
B) 
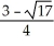
C) 
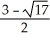
D) 
E) 
Correct Answer:
Verified
Related Questions
Q428: Solve the equation by using quadratic formula:
Q429: Solve: Q430: Solve: Q431: Find the sum of the roots of Q432: The roots of (x - 1)(x + Q434: Solve: Q435: Solve the equation by factoring: Q436: Solve the equation by using quadratic formula.Use Q437: Solve for x: 1 - 4x - Q438: The roots of Unlock this Answer For Free Now! View this answer and more for free by performing one of the following actions Scan the QR code to install the App and get 2 free unlocks Unlock quizzes for free by uploading documents![]()
![]()
![]()

![]()