One solution of the system
is x = 1 and y = 1.Another solution is
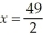
A)
, y = - 
B)
, y = - 
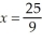
C)
, y = - 
D) x = 1, y = -1
E) x = 0, y = 0
Correct Answer:
Verified
Q195: A business woman has $300,000 of profits
Q196: A swimming pool owner has two solutions
Q197: Two types of chickens,A and B,are raised
Q198: A chemist has two solutions that contain
Q199: Two species of fish,A and B,are raised
Q201: The shape of the main cable on
Q202: Find the Break Even Point for a
Q203: Solve the following nonlinear system: 
Q204: Suppose the supply and demand equations for
Q205: Suppose that the supply and demand equations
Unlock this Answer For Free Now!
View this answer and more for free by performing one of the following actions
Scan the QR code to install the App and get 2 free unlocks
Unlock quizzes for free by uploading documents