Solved

An Analysis of the Current Mortgage Loan Process Found That

Question 90

Essay

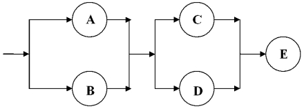
An analysis of the current mortgage loan process found that the overall system reliability of a part of the total process consisting of three stages was low.After much analysis the process manager decided to add redundancy in this part of the process so Clerks A and B checked one another's work as well as clerks C and D in the new process so consider each pair to be in parallel.A study found that all clerks performed at an average reliability of 0.85. An analysis of the current mortgage loan process found that the overall system reliability of a part of the total process consisting of three stages was low.After much analysis the process manager decided to add redundancy in this part of the process so Clerks A and B checked one another's work as well as clerks C and D in the new process so consider each pair to be in parallel.A study found that all clerks performed at an average reliability of 0.85.   The reliability of the new process with more redundancy is now _______________. The reliability of the new process with more redundancy is now _______________.

Correct Answer:

verifed

Verified

RS = [1 -...

View Answer

Unlock this answer now
Get Access to more Verified Answers free of charge

Related Questions

Unlock this Answer For Free Now!

View this answer and more for free by performing one of the following actions

qr-code

Scan the QR code to install the App and get 2 free unlocks

upload documents

Unlock quizzes for free by uploading documents