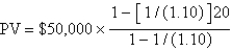
You win the lottery,which pays $1 million in 20 annual $50,000 payments.Your friends ask how much that would be if you received a single lump sum payment today.You do not have your calculator,but you show them the following equation to help them solve it themselves,assuming the interest rate is 10 percent:
A) 
B) 
C) 
D) 
E) Either a or b is correct.
Correct Answer:
Verified
Q68: Beginning in _, the wage premium began
Q75: The average unemployment benefit of an American
Q76: Q78: The equation means you: Q81: Large unemployment benefits give workers an incentive Q81: In 2002,the wage premium for a college-educated Q82: You are a senior graduating soon.In 2010 Q90: Unemployment generally falls during economic booms. Q93: For most Americans, the length of unemployment Q95: If the civilian noninstitutionalized population is 230,108,![]()
![]()
Unlock this Answer For Free Now!
View this answer and more for free by performing one of the following actions
Scan the QR code to install the App and get 2 free unlocks
Unlock quizzes for free by uploading documents