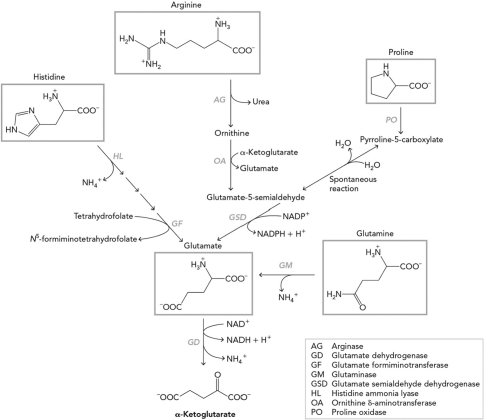
If no NAD+ was available,the group 2 amino acid degradation pathway would experience a 
A) buildup of urea.
B) buildup of glutamate.
C) depletion of proline.
D) depletion of histidine.
Correct Answer:
Verified
Q54: What nitrogen source is used to produce
Q55: In the production of urea,the carbon atom
Q56: A no-protein diet with high doses of
Q57: Which intermediates of the Krebs bicycle would
Q58: If there was a loss of efficiency
Q60: When amino acids from dietary proteins enter
Q61: Arginine,leucine,and lysine are all essential amino acids.This
Q62: What are the six steps of the
Q63: Which metabolic process is the cause of
Q64: What is the difference between nitrogen fixation
Unlock this Answer For Free Now!
View this answer and more for free by performing one of the following actions
Scan the QR code to install the App and get 2 free unlocks
Unlock quizzes for free by uploading documents