Solved

The Lattice Energy of Rubidium Chloride Is the Energy Change \to

Question 54

Short Answer

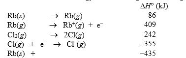
The lattice energy of rubidium chloride is the energy change accompanying the process
Rb+(g) + Cl-(g) \to RbCl(s)
Calculate the lattice energy of RbCl using the following data:  The lattice energy of rubidium chloride is the energy change accompanying the process Rb<sup>+</sup>(g) + Cl<sup>-</sup>(g)  \to  RbCl(s) Calculate the lattice energy of RbCl using the following data:     Cl<sub>2</sub>(g)  \to  RbCl(s)  The lattice energy of rubidium chloride is the energy change accompanying the process Rb<sup>+</sup>(g) + Cl<sup>-</sup>(g)  \to  RbCl(s) Calculate the lattice energy of RbCl using the following data:     Cl<sub>2</sub>(g)  \to  RbCl(s) Cl2(g) \to RbCl(s)

Correct Answer:

verifed

Verified

Lattice en...

View Answer

Unlock this answer now
Get Access to more Verified Answers free of charge

Related Questions

Unlock this Answer For Free Now!

View this answer and more for free by performing one of the following actions

qr-code

Scan the QR code to install the App and get 2 free unlocks

upload documents

Unlock quizzes for free by uploading documents