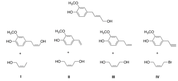
Identify the starting material that would be used to form the following product in a ring-closing metathesis reaction utilizing a Grubbs catalyst? 
A) I
B) II
C) III
D) IV
Correct Answer:
Verified
Q30: Identify the structure of the major organic
Q31: What is the name for the type
Q32: What starting material could yield the following
Q33: What would be the major organic product
Q33: Dichlorocarbene reacts with an alkene to form
Q34: What is the appropriate sequence of
Q35: Why is the Grubbs catalyst synthetically important?
A)Because
Q38: As shown below, when cis-2-butene reacts with
Q39: What would be the starting material for
Q40: What starting material could yield the following
Unlock this Answer For Free Now!
View this answer and more for free by performing one of the following actions
Scan the QR code to install the App and get 2 free unlocks
Unlock quizzes for free by uploading documents