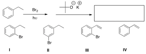
Multiple Choice
What is the product of the following sequence of reactions? 
A) I
B) II
C) III
D) IV
Correct Answer:
Verified
Related Questions
Q25: What is the reactive intermediate formed in
Q37: Which of the following substituents are deactivators
Q38: What is the major product of the
Q39: What is (are) the product(s) of the
Q40: What are the two distinct pathways for
Q42: Which set of reagents would most likely
Q43: What is the best choice of reagent
Q44: What is the product of the following
Q45: In addition to the product shown, what
Q46: What is the major product of the
Unlock this Answer For Free Now!
View this answer and more for free by performing one of the following actions
Scan the QR code to install the App and get 2 free unlocks
Unlock quizzes for free by uploading documents