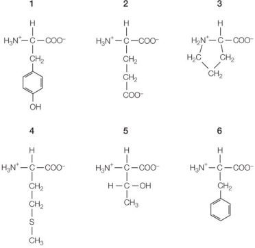
Refer to the figures below.
The hydrophobic amino acids are those with numbers _______.
Correct Answer:
Verified
Q79: Which statement about fatty acids is true?
A)
Q80: Refer to the diagram of a polysaccharide
Q81: Refer to the figures below, showing two
Q82: van der Waals forces can form between
Q83: Refer to the table and figures below.
Q85: Comparing two fatlike solid substances, you determine
Q86: The functional group written as -COOH is
Q87: In proteins, amino acids are linked together
Q88: All amino acids have an amino group,
Q89: Steroids are classified as lipids because
Unlock this Answer For Free Now!
View this answer and more for free by performing one of the following actions
Scan the QR code to install the App and get 2 free unlocks
Unlock quizzes for free by uploading documents