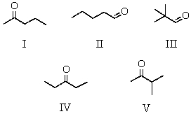
A compound C5H10O gave the following spectral data: 1H NMR spectrum IR spectrum
Doublet, 1.10 strong peak
Singlet, 2.10 near 1720 cm-1
Septet, 2.50
Which is a reasonable structure for the compound? 
A) I
B) II
C) III
D) IV
E) V
Correct Answer:
Verified
Q66: What is the structure of the compound
Q67: For the C2 methylene group in 1-bromopropane,
Q68: What is the structure of the compound
Q69: A compound with the molecular formula
Q70: In NMR terminology,protons Ha and Hb are
Q72: What is the structure of the compound
Q73: What is the structure of the compound
Q74: In the structure shown,Ha and Hb are
Q75: What is the structure of the compound
Q76: A compound C4H9Br gave the following
Unlock this Answer For Free Now!
View this answer and more for free by performing one of the following actions
Scan the QR code to install the App and get 2 free unlocks
Unlock quizzes for free by uploading documents