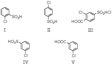
m-Chlorobenzenesulfonic acid is: 
A) I
B) II
C) III
D) IV
E) V
Correct Answer:
Verified
Q14: Xylene is the name commonly assigned to:
A)Hydroxybenzene
B)Aminobenzene
C)Dimethylbenzene
D)Ethylbenzene
E)Methoxybenzene
Q15: The correct name for the compound shown
Q16: The correct name for the compound shown
Q17: 4-Amino-2-chlorophenol is: Q18: Toluene is the name commonly assigned to: Q20: Cumene is the name commonly assigned to:![]()
A)Hydroxybenzene
B)Aminobenzene
C)Methylbenzene
D)Ethylbenzene
E)Methoxybenzene
A)Hydroxybenzene
B)Aminobenzene
C)Ethylbenzene
D)Isopropylbenzene
E)Isobutylbenzene
Unlock this Answer For Free Now!
View this answer and more for free by performing one of the following actions
Scan the QR code to install the App and get 2 free unlocks
Unlock quizzes for free by uploading documents