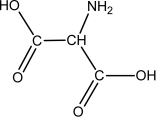
Which of the following compounds is an -amino acid?
A) 
B) 
C) 
D) 
E)
Correct Answer:
Verified
Q15: At a physiological pH of 7.4,amino acids
Q16: Amino acids that human cannot synthesize are
Q17: Identify the amino acid(s)among the following.
I.
Q19: Which statement is NOT correct? A chiral
Q20: L-alanine has the molecular structure shown.Which of
Q21: Which of the following peptides is phenylalanylproline
Q23: An oligopeptide consists of up to _
Q28: An
Q41: Aspartame exists as a zwitterion with a
Q74: Which functional group links amino acids together
Unlock this Answer For Free Now!
View this answer and more for free by performing one of the following actions
Scan the QR code to install the App and get 2 free unlocks
Unlock quizzes for free by uploading documents