Multiple Choice
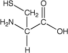
Which of the following are not amino acids?
I.
II.
III.
IV. 
A) III and IV
B) I and II
C) I and IV
D) II and III only
E) II and IV only
Correct Answer:
Verified
Related Questions
Q17: The functional group -COOH is characteristic of
Q18: Which of these molecules are structural isomers
Q19: Ranitidine, with a trade name of Zantac,
Q20: Indometacin is a nonsteroidal antiinflammatory drug, often
Unlock this Answer For Free Now!
View this answer and more for free by performing one of the following actions
Scan the QR code to install the App and get 2 free unlocks
Unlock quizzes for free by uploading documents