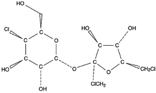
The active ingredient, sucralose, in an artificial sweetener, Splenda, is shown below. Sucralose is advertised as being made from table sugar. What is the main difference between sucrose (table sugar) and sucralose? 
A) Sucralose is a disaccharide, while sucrose is a monosaccharide.
B) Sucralose has a six-membered and a five-membered ring, unlike the two six-membered rings in sucrose.
C) Sucralose has a glycosidic bond between the two saccharide units, unlike the C-C bond in sucrose.
D) Some hydroxyl groups in sucrose are replaced by chlorine atoms in sucralose.
E) Sucralose has a six-membered and a five-membered ring, unlike the two five-membered rings in sucrose.
Correct Answer:
Verified
Q87: Which one of the following statements about
Q88: Which of the following sugars is glucose?
A)
Q89: Glucose and fructose undergo a(n) _ reaction
Q90: Glucose is shown below. Number the carbon
Q91: Which statement is not correct? Sucrose _
A)is
Q93: In its ring structure, which functional groups
Q94: Table sugar is _
A)glucose.
B)fructose.
C)cellobiose.
D)a monosaccharide.
E)sucrose.
Q95: To produce ethanol from corn (i.e., starch)
Q96: The cyclization of glucose forms a _
A)four-membered
Q97: A glycosidic bond links two sugar molecules
Unlock this Answer For Free Now!
View this answer and more for free by performing one of the following actions
Scan the QR code to install the App and get 2 free unlocks
Unlock quizzes for free by uploading documents