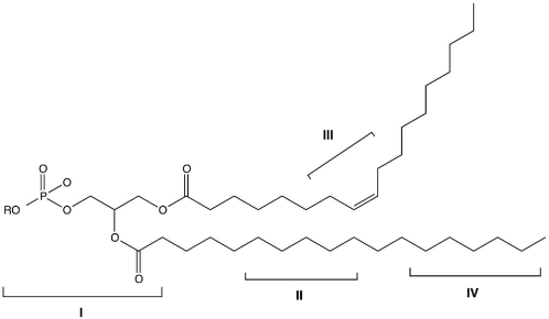
Which region(s) of the following phospholipid is/are hydrophobic? 
A) I only
B) II only
C) I and III only
D) II and IV only
E) II, III, and IV only
Correct Answer:
Verified
Q103: How many different nucleic acid bases are
Q104: Which one of the following is a
Q105: Which of the following triglycerides would you
Q106: Which of the following statements about phospholipids
Q107: Which one of the following is a
Q109: The tricarboxylic acid cycle (a.k.a. Krebs cycle)
Q110: Triglycerides are formed between _
A)glycerol and inorganic
Q111: The molecule drawn below is an example
Q112: Which of the following statements is not
Q113: Which one of the following is best
Unlock this Answer For Free Now!
View this answer and more for free by performing one of the following actions
Scan the QR code to install the App and get 2 free unlocks
Unlock quizzes for free by uploading documents