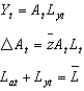
Consider the following Romer model of economic growth:
(a) If
and
, what is the growth rate of knowledge in this economy?
(b) What is the growth rate of per capita output in this economy?
(c) Using the information from year 1, what is the level of per capita output in this economy
in year 5?
Correct Answer:
Verified
View Answer
Unlock this answer now
Get Access to more Verified Answers free of charge
Q110: In the Romer model, if the population
Q111: In the growth accounting equation 
Q112: Consider the following data: Q113: According to the combined Solow-Romer model, all Q114: In the combined Solow-Romer model, the steady-state Q116: In the Romer model, the creation of Q117: Consider the Romer model. If the percentage Q118: Consider the Cobb-Douglas production function Q119: How does the Romer model of economic Q120: You have been asked to calculate TFP![]()

Unlock this Answer For Free Now!
View this answer and more for free by performing one of the following actions
Scan the QR code to install the App and get 2 free unlocks
Unlock quizzes for free by uploading documents