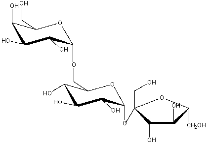
Raffinose is a trisaccharide found in whole grains. Is raffinose a reducing sugar? 
A) yes
B) no
Correct Answer:
Verified
Q96: Which one of the following is a
Q97: Which one of the following is a
Q99: Which of the following disaccharides is a
Q100: An optically active D-aldohexose was treated with
Q104: D-mannose when subjected to Wohl degradation followed
Q104: Which of the following disaccharides is(are)
Q121: Predict the product(s) when lactose is treated
Q132: Which of the following disaccharides is (are)
Q135: Which one of the following heterocyclic amines
Q136: Which one of the following heterocyclic amines
Unlock this Answer For Free Now!
View this answer and more for free by performing one of the following actions
Scan the QR code to install the App and get 2 free unlocks
Unlock quizzes for free by uploading documents