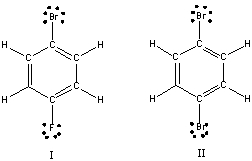
Which of the following compounds have a dipole moment? Indicate the direction of dipole moment. 
Correct Answer:
Verified
View Answer
Unlock this answer now
Get Access to more Verified Answers free of charge
Q167: Which of the following compounds have the
Q168: Which of the following compounds have a
Q169: Which of the following statements best explains
Q169: Which of the following compounds does not
Q170: Which of the following compounds have the
Q171: What is the strongest intermolecular force present
Q173: Which of the following compounds has net
Q174: Which of the following compounds have the
Q175: What is the strongest intermolecular force present
Q180: Which of the following compounds have the
Unlock this Answer For Free Now!
View this answer and more for free by performing one of the following actions
Scan the QR code to install the App and get 2 free unlocks
Unlock quizzes for free by uploading documents