Solved

Consider the Reaction Below

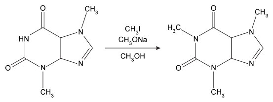
Question 96

Multiple Choice

Consider the reaction below. Consider the reaction below.   Which of the following observations would indicate the reaction product is pure? A) One absorbance peak from size-exclusion chromatography B) Two peaks in a high-performance liquid chromatogram C) Two unique −CH<sub>3</sub> signals in the <sup>1</sup>H NMR spectrum D) A single spot on a thin-layer chromatography plate Which of the following observations would indicate the reaction product is pure?


A) One absorbance peak from size-exclusion chromatography
B) Two peaks in a high-performance liquid chromatogram
C) Two unique −CH3 signals in the 1H NMR spectrum
D) A single spot on a thin-layer chromatography plate

Correct Answer:

verifed

Verified

Unlock this answer now
Get Access to more Verified Answers free of charge

Related Questions

Unlock this Answer For Free Now!

View this answer and more for free by performing one of the following actions

qr-code

Scan the QR code to install the App and get 2 free unlocks

upload documents

Unlock quizzes for free by uploading documents