Deck 23: Organic Polymers, natural and Synthetic
Question
Question
Question
Question
Question
Question
Question
Question
Question
Question
Question
Question
Question
Question
Question
Question
Question
Question
Question
Question
Question
Question
Question
Question
Question
Question
Question
Question
Question
Question
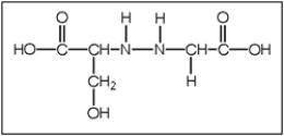
Question
Question
Question
Question
Question
Question
Question
Question
Question
Question
Question
Question
Question
Unlock Deck
Sign up to unlock the cards in this deck!
Unlock Deck
Unlock Deck
1/43
Play
Full screen (f)
Deck 23: Organic Polymers, natural and Synthetic
1
Which of the following is a polysaccharide?
A) α-Glucose
B) Fructose
C) Cellulose
D) Sucrose
E) α-Maltose
A) α-Glucose
B) Fructose
C) Cellulose
D) Sucrose
E) α-Maltose
Cellulose
2
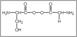
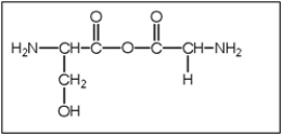
Glycine,H2NCH2COOH,can polymerize via a condensation reaction.What simple molecule is a byproduct of this polymerization reaction?
A) H2
B) NH3
C) N2
D) H2O
E) O2
A) H2
B) NH3
C) N2
D) H2O
E) O2
H2O
3
Which one of the following polymers is made by a condensation reaction?
A) Teflon
B) Poly(ethylene terephthalate)
C) Polyethylene
D) Polystyrene
E) Polyvinyl chloride
A) Teflon
B) Poly(ethylene terephthalate)
C) Polyethylene
D) Polystyrene
E) Polyvinyl chloride
Poly(ethylene terephthalate)
4
Using the acid dissociation constants for glycine (Ka1 = 4.6 × 10−3 and Ka2 = 2.5 × 10−10),calculate the [Z]/[C+] ratio at pH 1.00.(Z = Zwitterion,C+ = fully protonated cation)
A) 2.5 × 10−11
B) 2.5 × 10−9
C) 4.6 × 10−4
D) 0.046
E) 22
A) 2.5 × 10−11
B) 2.5 × 10−9
C) 4.6 × 10−4
D) 0.046
E) 22
Unlock Deck
Unlock for access to all 43 flashcards in this deck.
Unlock Deck
k this deck
5
What is the monomer used to make the following polymer? 
A)
B)
C)
D)
E)

A)

B)

C)

D)

E)

Unlock Deck
Unlock for access to all 43 flashcards in this deck.
Unlock Deck
k this deck
6
When a diamine reacts with a dicarboxylic acid,a ____ is formed?
A) polyamide
B) polyester
C) disaccharide
D) carbohydrate
E) saccharide
A) polyamide
B) polyester
C) disaccharide
D) carbohydrate
E) saccharide
Unlock Deck
Unlock for access to all 43 flashcards in this deck.
Unlock Deck
k this deck
7
The general formula of a carbohydrate is ____.
A) CnH2nOn
B) CnH2n+2On
C) CnH2nO2n
D) Cn(H2O)m
E) Cn(OH)m
A) CnH2nOn
B) CnH2n+2On
C) CnH2nO2n
D) Cn(H2O)m
E) Cn(OH)m
Unlock Deck
Unlock for access to all 43 flashcards in this deck.
Unlock Deck
k this deck
8
Teflon is made from the addition reaction of ____.
A) C2H4
B) C3H6
C) CH2CHCl
D) CH2CHCN
E) C2F4
A) C2H4
B) C3H6
C) CH2CHCl
D) CH2CHCN
E) C2F4
Unlock Deck
Unlock for access to all 43 flashcards in this deck.
Unlock Deck
k this deck
9
Sucrose is commonly known as ____.
A) aspartame
B) Splenda
C) NutraSweet
D) saccharine
E) sugar
A) aspartame
B) Splenda
C) NutraSweet
D) saccharine
E) sugar
Unlock Deck
Unlock for access to all 43 flashcards in this deck.
Unlock Deck
k this deck
10
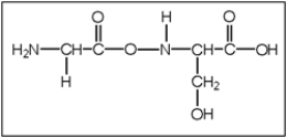
The reaction between an amine and a carboxylic acid is a condensation.What small molecule is formed as a byproduct of this reaction?
A) H2O
B) H2
C) CO2
D) O2
E) CO
A) H2O
B) H2
C) CO2
D) O2
E) CO
Unlock Deck
Unlock for access to all 43 flashcards in this deck.
Unlock Deck
k this deck
11
Which of the following statements concerning cellulose is INCORRECT?
A) Humans lack the enzymes needed to catalyze the hydrolysis of cellulose.
B) Cellulose contains unbranched chains of roughly 50-300 glucose molecules.
C) The molecular structure of cellulose allows for hydrogen bonding between polymer chains.
D) The major industrial source of cellulose is wood.
E) In cellulose,the oxygen bridge between glucose units is in the beta position.
A) Humans lack the enzymes needed to catalyze the hydrolysis of cellulose.
B) Cellulose contains unbranched chains of roughly 50-300 glucose molecules.
C) The molecular structure of cellulose allows for hydrogen bonding between polymer chains.
D) The major industrial source of cellulose is wood.
E) In cellulose,the oxygen bridge between glucose units is in the beta position.
Unlock Deck
Unlock for access to all 43 flashcards in this deck.
Unlock Deck
k this deck
12
The polymerization of 1,2-dichloroethylene,CHClCHCl,will yield which of the following polymers?
A)
B)
C)
D)
E)
A)

B)

C)

D)

E)

Unlock Deck
Unlock for access to all 43 flashcards in this deck.
Unlock Deck
k this deck
13
Polyacrylonitrile is an addition polymer made from the acrylonitrile monomer,CH2CHCN.How many monomer units are in a polyacrylonitrile polymer that has a molar mass of 8.33 × 104 g/mol?
A) 7.90 × 102
B) 1.57 × 103
C) 3.14 × 103
D) 8.33 × 104
E) 4.42 × 106
A) 7.90 × 102
B) 1.57 × 103
C) 3.14 × 103
D) 8.33 × 104
E) 4.42 × 106
Unlock Deck
Unlock for access to all 43 flashcards in this deck.
Unlock Deck
k this deck
14
For an amino acid,proton transfer occurs from the carboxylic acid group to the amine group.The resulting species,which has both a +1 and a −1 charge,is called a(n)_____ .
A) amide
B) zwitterion
C) cation
D) anion
E) protein
A) amide
B) zwitterion
C) cation
D) anion
E) protein
Unlock Deck
Unlock for access to all 43 flashcards in this deck.
Unlock Deck
k this deck
15
Which of the following statements concerning starch is INCORRECT?
A) Starch is a polysaccharide found in plants.
B) Starch is abundant in corn and potatoes.
C) Amylose comprises about 20% of starch and it is insoluble in water.
D) Amylopectin,a highly branched component of starch,is soluble in water.
E) Amylose is composed of α-glucose polymers;amylopectin is composed of β-glucose polymers.
A) Starch is a polysaccharide found in plants.
B) Starch is abundant in corn and potatoes.
C) Amylose comprises about 20% of starch and it is insoluble in water.
D) Amylopectin,a highly branched component of starch,is soluble in water.
E) Amylose is composed of α-glucose polymers;amylopectin is composed of β-glucose polymers.
Unlock Deck
Unlock for access to all 43 flashcards in this deck.
Unlock Deck
k this deck
16
PVC is a stiff,rugged polymer made from the addition reaction of ____.
A) C2H4
B) C3H6
C) CH2CHCl
D) CH2CHCN
E) C2F4
A) C2H4
B) C3H6
C) CH2CHCl
D) CH2CHCN
E) C2F4
Unlock Deck
Unlock for access to all 43 flashcards in this deck.
Unlock Deck
k this deck
17
How many of the 20 common α-amino acids are considered "essential" (i.e. ,required by humans for protein construction).
A) 2
B) 5
C) 10
D) 13
E) 17
A) 2
B) 5
C) 10
D) 13
E) 17
Unlock Deck
Unlock for access to all 43 flashcards in this deck.
Unlock Deck
k this deck
18
Which amino acid contains no chiral carbon atoms?
A) Proline
B) Glutamine
C) Lysine
D) Glycine
E) Leucine
A) Proline
B) Glutamine
C) Lysine
D) Glycine
E) Leucine
Unlock Deck
Unlock for access to all 43 flashcards in this deck.
Unlock Deck
k this deck
19
Fructose is
A) commonly known as blood sugar.
B) a monosaccharide found in honey and fruit juices.
C) a disaccharide formed from two glucose molecules.
D) a polysaccharide formed from several hundred glucose molecules.
E) an enzyme that catalyzes the decomposition of glucose.
A) commonly known as blood sugar.
B) a monosaccharide found in honey and fruit juices.
C) a disaccharide formed from two glucose molecules.
D) a polysaccharide formed from several hundred glucose molecules.
E) an enzyme that catalyzes the decomposition of glucose.
Unlock Deck
Unlock for access to all 43 flashcards in this deck.
Unlock Deck
k this deck
20
Which of the following molecules will react with oxalic acid to produce a polymer with the following repeating unit? 
A)
B)
C)
D)
E)

A)

B)

C)

D)

E)

Unlock Deck
Unlock for access to all 43 flashcards in this deck.
Unlock Deck
k this deck
21
Using the acid dissociation constants for alanine (Ka1 = 5.1 × 10−3 and Ka2 = 1.8 × 10−10),calculate the [Z]/[A−] ratio at pH 11.50.(Z = Zwitterion,A− = deprotonated anion)
A) 6.2 × 10−10
B) 5.1 × 101
C) 1.8 × 10−2
D) 4.6 × 109
E) 1.6 × 109
A) 6.2 × 10−10
B) 5.1 × 101
C) 1.8 × 10−2
D) 4.6 × 109
E) 1.6 × 109
Unlock Deck
Unlock for access to all 43 flashcards in this deck.
Unlock Deck
k this deck
22
How many different dipeptides can be made from the 20 common amino acids?
A) 20
B) 39
C) 40
D) 380
E) 400
A) 20
B) 39
C) 40
D) 380
E) 400
Unlock Deck
Unlock for access to all 43 flashcards in this deck.
Unlock Deck
k this deck
23
For serine (Ka1 = 6.5 × 10−3 and Ka2 = 6.2 × 10−10),at what pH does [Z] = [C+]?
A) 2.19
B) 4.79
C) 7.00
D) 9.21
E) 11.81
A) 2.19
B) 4.79
C) 7.00
D) 9.21
E) 11.81
Unlock Deck
Unlock for access to all 43 flashcards in this deck.
Unlock Deck
k this deck
24
How many tripeptides can be made from alanine,serine,and leucine,using each amino acid only once per tripeptide?
A) 3
B) 4
C) 6
D) 9
E) 27
A) 3
B) 4
C) 6
D) 9
E) 27
Unlock Deck
Unlock for access to all 43 flashcards in this deck.
Unlock Deck
k this deck
25
Using the acid dissociation constants for glycine (Ka1 = 4.6 × 10−3 and Ka2 = 2.5 × 10−10),calculate the [Z]/[C+] ratio at pH 8.00.(Z = Zwitterion,C+ = fully protonated cation)
A) 2.2 × 10−6
B) 6.6 × 10−4
C) 2.5 × 10−2
D) 4.0 × 101
E) 4.6 × 105
A) 2.2 × 10−6
B) 6.6 × 10−4
C) 2.5 × 10−2
D) 4.0 × 101
E) 4.6 × 105
Unlock Deck
Unlock for access to all 43 flashcards in this deck.
Unlock Deck
k this deck
26
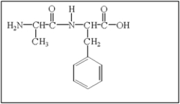
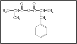
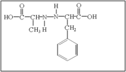
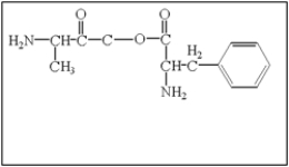
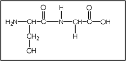
Amino acids polymerize in condensation reactions that result in the formation of an amide linkage (or peptide bond)between amino acid molecules.What is a possible dipeptide formed in the reaction of alanine with phenylalanine? 
A)
B)
C)
D)
E) None of the above

A)

B)

C)

D)

E) None of the above
Unlock Deck
Unlock for access to all 43 flashcards in this deck.
Unlock Deck
k this deck
27
What is the correct structure of alanylserine? Alanine has a CH3 functional group and serine has a CH2OH functional group.
A)
B)
C)
D)
E)
A)

B)

C)

D)

E)

Unlock Deck
Unlock for access to all 43 flashcards in this deck.
Unlock Deck
k this deck
28
How many different tripeptides can be made from the 20 common amino acids?
A) 60
B) 400
C) 8.0 × 103
D) 1.6 × 105
E) 3.5 × 109
A) 60
B) 400
C) 8.0 × 103
D) 1.6 × 105
E) 3.5 × 109
Unlock Deck
Unlock for access to all 43 flashcards in this deck.
Unlock Deck
k this deck
29
On complete hydrolysis,a polypeptide gives two glycine,one alanine,one valine,and one serine residue.Partial hydrolysis gives the following fragments: Gly-Ser,Val-Gly,Ser-Val,and Ala-Gly.What is the primary structure of the polypeptide?
A) Ala-Gly-Gly-Val-Ser
B) Gly-Ser-Val-Gly-Ala
C) Ser-Val-Gly-Ala-Gly
D) Ala-Gly-Ser-Val-Gly
E) Val-Gly-Ser-Val-Ala
A) Ala-Gly-Gly-Val-Ser
B) Gly-Ser-Val-Gly-Ala
C) Ser-Val-Gly-Ala-Gly
D) Ala-Gly-Ser-Val-Gly
E) Val-Gly-Ser-Val-Ala
Unlock Deck
Unlock for access to all 43 flashcards in this deck.
Unlock Deck
k this deck
30
Using the acid dissociation constants for glycine (Ka1 = 4.6 × 10−3 and Ka2 = 2.5 × 10−10),calculate the [Z]/[A−] ratio at pH 7.00.(Z = Zwitterion,A− = deprotonated anion)
A) 2.2 × 10−5
B) 2.5 × 10−3
C) 4.0 × 102
D) 4.6 × 104
E) 1.8 × 107
A) 2.2 × 10−5
B) 2.5 × 10−3
C) 4.0 × 102
D) 4.6 × 104
E) 1.8 × 107
Unlock Deck
Unlock for access to all 43 flashcards in this deck.
Unlock Deck
k this deck
31
What is the correct structure of serylglycine (Ser-Gly)? Serine has a CH2OH functional group and glycine is functionalized with an H atom.
A)
B)
C)
D)
E)
A)

B)

C)

D)

E)

Unlock Deck
Unlock for access to all 43 flashcards in this deck.
Unlock Deck
k this deck
32
When glycine and alanine combine to form a dipeptide,how many structural isomers are possible?
A) No structural isomers are possible.
B) Two structural isomers are possible.
C) Three structural isomers are possible.
D) Four structural isomers are possible.
E) Six structural isomers are possible.
A) No structural isomers are possible.
B) Two structural isomers are possible.
C) Three structural isomers are possible.
D) Four structural isomers are possible.
E) Six structural isomers are possible.
Unlock Deck
Unlock for access to all 43 flashcards in this deck.
Unlock Deck
k this deck
33
For serine (Ka1 = 6.5 × 10−3 and Ka2 = 6.2 × 10−10),at what pH does [Z] = [A−]?
A) 2.19
B) 4.79
C) 7.00
D) 9.21
E) 11.81
A) 2.19
B) 4.79
C) 7.00
D) 9.21
E) 11.81
Unlock Deck
Unlock for access to all 43 flashcards in this deck.
Unlock Deck
k this deck
34
The pH at which the maximum concentration of the zwitterion exists for an amino acid is referred to as the _____ .
A) isoelectric point
B) zwitterion ion point
C) neutral point
D) principal point
E) deprotonated point
A) isoelectric point
B) zwitterion ion point
C) neutral point
D) principal point
E) deprotonated point
Unlock Deck
Unlock for access to all 43 flashcards in this deck.
Unlock Deck
k this deck
35
The ____ structure corresponds to the amino acid sequence in a molecule.
A) nucleic
B) primary
C) secondary
D) tertiary
E) quaternary
A) nucleic
B) primary
C) secondary
D) tertiary
E) quaternary
Unlock Deck
Unlock for access to all 43 flashcards in this deck.
Unlock Deck
k this deck
36
The enzyme trypsin is used to break bonds in the following polypeptide. Gly-Lys-Met-Leu-Arg-Gly-Met-Arg-Lys
What fragments result?
A) Gly-Lys-Met;Leu-Arg-Met;Arg-Lys
B) Gly-Lys;Met-Leu-Arg;Gly-Met-Arg;Lys
C) Gly;Lys-Met-Leu-Arg-Gly;Met-Arg-Lys
D) Gly-Lys-Met-Leu-Arg;Gly-Met-Arg-Lys
E) Gly-Lys;Met-Leu;Arg-Gly;Met-Arg;Lys
What fragments result?
A) Gly-Lys-Met;Leu-Arg-Met;Arg-Lys
B) Gly-Lys;Met-Leu-Arg;Gly-Met-Arg;Lys
C) Gly;Lys-Met-Leu-Arg-Gly;Met-Arg-Lys
D) Gly-Lys-Met-Leu-Arg;Gly-Met-Arg-Lys
E) Gly-Lys;Met-Leu;Arg-Gly;Met-Arg;Lys
Unlock Deck
Unlock for access to all 43 flashcards in this deck.
Unlock Deck
k this deck
37
For valine (Ka1 = 5.2 × 10−3 and Ka2 = 1.9 × 10−10),what is the pH at the isoelectric point?
A) 2.28
B) 6.00
C) 7.00
D) 8.00
E) 9.72
A) 2.28
B) 6.00
C) 7.00
D) 8.00
E) 9.72
Unlock Deck
Unlock for access to all 43 flashcards in this deck.
Unlock Deck
k this deck
38
A certain polypeptide is shown by acid hydrolysis to contain only three amino acids: alanine (Ala),valine (Val),and serine (Ser)with mole fractions of
,
,and
,respectively.Enzymatic hydrolysis yields the following fragments: Ala-Ser,Ala-Val,Val-Ala.What is the primary structure of the polypeptide?
A) Ala-Val-Ala-Ser
B) Ala-Ser-Ala-Val
C) Val-Ala-Ser-Ala
D) Ser-Ala-Ala-Val
E) Val-Ala-Ala-Ser
,
,and
,respectively.Enzymatic hydrolysis yields the following fragments: Ala-Ser,Ala-Val,Val-Ala.What is the primary structure of the polypeptide?A) Ala-Val-Ala-Ser
B) Ala-Ser-Ala-Val
C) Val-Ala-Ser-Ala
D) Ser-Ala-Ala-Val
E) Val-Ala-Ala-Ser
Unlock Deck
Unlock for access to all 43 flashcards in this deck.
Unlock Deck
k this deck
39
How many tripeptides can be made from lysine,glycine,and valine,using any number of each amino acid?
A) 3
B) 4
C) 6
D) 9
E) 27
A) 3
B) 4
C) 6
D) 9
E) 27
Unlock Deck
Unlock for access to all 43 flashcards in this deck.
Unlock Deck
k this deck
40
How many tetrapeptides can be made from serine,alanine,glycine,and lysine,using each amino acid only once per tetrapeptide?
A) 4
B) 6
C) 12
D) 24
E) 36
A) 4
B) 6
C) 12
D) 24
E) 36
Unlock Deck
Unlock for access to all 43 flashcards in this deck.
Unlock Deck
k this deck
41
The three-dimensional conformation of a protein is called its
A) tertiary structure.
B) secondary structure.
C) conformational structure.
D) primary structure.
E) polymerized structure.
A) tertiary structure.
B) secondary structure.
C) conformational structure.
D) primary structure.
E) polymerized structure.
Unlock Deck
Unlock for access to all 43 flashcards in this deck.
Unlock Deck
k this deck
42
Watson,Crick and Wilkins received the Nobel prize for
A) their work on DNA fingerprinting
B) determining the secondary structure of DNA
C) determining the identity of an unknown soldier
D) determining the primary structure of DNA
E) determining the tertiary structure of DNA
A) their work on DNA fingerprinting
B) determining the secondary structure of DNA
C) determining the identity of an unknown soldier
D) determining the primary structure of DNA
E) determining the tertiary structure of DNA
Unlock Deck
Unlock for access to all 43 flashcards in this deck.
Unlock Deck
k this deck
43
Diols react with dioic acids to produce
A) polyamides and water
B) polyesters and water
C) condensation polymers and water
D) addition polymers
E) b and c
A) polyamides and water
B) polyesters and water
C) condensation polymers and water
D) addition polymers
E) b and c
Unlock Deck
Unlock for access to all 43 flashcards in this deck.
Unlock Deck
k this deck

