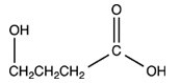
3-hydroxybutanoic acid is an important starting material for polymer synthesis. Which of the following properly represents the structure of this compound?
A) 
B) 
C) 
D) 
Correct Answer:
Verified
Q47: The drug Clofibrate is used to lower
Q48: Hydrolysis of amides is an important reaction
Q49: When soap is mixed with water,the nonpolar
Q50: At the pH of the aqueous environment
Q51: A common type of reaction for acyl
Q53: Hydrolysis of amides is an important reaction
Q54: The compound below is named potassium 2-chloro-3-hydroxybutanoate.
Q55: Which choice represents the products of the
Q56: Methylparaben is an ester used as a
Q57: What is the major organic product of
Unlock this Answer For Free Now!
View this answer and more for free by performing one of the following actions
Scan the QR code to install the App and get 2 free unlocks
Unlock quizzes for free by uploading documents