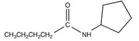
What is the major organic product of the reaction shown below? 
A) 
B) 
C) 
D) 
Correct Answer:
Verified
Q52: 3-hydroxybutanoic acid is an important starting material
Q53: Hydrolysis of amides is an important reaction
Q54: The compound below is named potassium 2-chloro-3-hydroxybutanoate.
Q55: Which choice represents the products of the
Q56: Methylparaben is an ester used as a
Q58: The active ingredient in many insect repellants
Q59: 2-amino-3-methylpentanoic acid (common name isoleucine)is an essential
Q60: Which statement concerning carboxylic acids is incorrect?
A)The
Q61: Animal fats and vegetable oils are composed
Q62: The ester below contains a propoxy group.
Unlock this Answer For Free Now!
View this answer and more for free by performing one of the following actions
Scan the QR code to install the App and get 2 free unlocks
Unlock quizzes for free by uploading documents