Solved

Passage Combustion Occurs When an Oxidation-Reduction Reaction Takes Place Between a a Reduced

Question 63

Multiple Choice

Passage
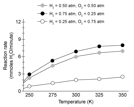
Combustion occurs when an oxidation-reduction reaction takes place between a reduced fuel source and an oxidizer, most frequently oxygen.  The reaction between hydrogen and oxygen forms water (Reaction 1) and is highly exothermic and thermodynamically favorable.  At the completion of hydrogen combustion, essentially all H2 molecules have been converted to water.  Nevertheless, at room temperature and atmospheric pressure, molecular hydrogen and oxygen can coexist quite stably.2 H2 + O2 → 2 H2OReaction 1A group of researchers designed two prototype internal combustion engines, each of which could inject a hydrogen/oxygen mixture into a 5-mL combustion chamber at a total pressure of 1 atm and could repeat this process for several cycles.  In one engine design, a spark was generated to initiate combustion as hydrogen and oxygen were injected.  In another method, the combustion chamber was coated with a small amount of platinum powder.  Platinum dramatically increases the reaction rate at room temperature without the need for a spark.  The platinum itself is not altered by the reaction and can be reused.  Researchers measured the maximum power output of both engine designs under identical injection and temperature conditions (Figure 1) .
Passage Combustion occurs when an oxidation-reduction reaction takes place between a reduced fuel source and an oxidizer, most frequently oxygen.  The reaction between hydrogen and oxygen forms water (Reaction 1)  and is highly exothermic and thermodynamically favorable.  At the completion of hydrogen combustion, essentially all H<sub>2</sub> molecules have been converted to water.  Nevertheless, at room temperature and atmospheric pressure, molecular hydrogen and oxygen can coexist quite stably.2 H<sub>2</sub> + O<sub>2</sub> → 2 H<sub>2</sub>O<strong>Reaction 1</strong>A group of researchers designed two prototype internal combustion engines, each of which could inject a hydrogen/oxygen mixture into a 5-mL combustion chamber at a total pressure of 1 atm and could repeat this process for several cycles.  In one engine design, a spark was generated to initiate combustion as hydrogen and oxygen were injected.  In another method, the combustion chamber was coated with a small amount of platinum powder.  Platinum dramatically increases the reaction rate at room temperature without the need for a spark.  The platinum itself is not altered by the reaction and can be reused.  Researchers measured the maximum power output of both engine designs under identical injection and temperature conditions (Figure 1) .    <strong>Figure 1</strong>  Relative power outputs of hydrogen engines with different ignition sources at 298 KThe power output of an engine is directly related to the rate of combustion.  In the presence of platinum, researchers measured the engine's rate of water production at various temperatures and H<sub>2</sub>/O<sub>2</sub> mixture compositions.  The results are shown in Figure 2.    <strong>Figure 2</strong>  Rate of combustion in platinum-coated engines under various conditions Adapted from Schultze M, Mantzaras J. Hetero-/homogeneous combustion of hydrogen/air mixtures over platinum: Fuel-lean versus fuel-rich combustion modes doi: 10.1016/j.ijhydene.2013.06.069 -When the platinum-based engine is run continuously at 300 K for 1 hour with 0.5 atm of H<sub>2</sub> and 0.5 atm of O<sub>2</sub> injected for each reaction, approximately what mass of water will be produced? A) 0.36 g B) 6.5 g C) 360 g D) 6,500 g Figure 1  Relative power outputs of hydrogen engines with different ignition sources at 298 KThe power output of an engine is directly related to the rate of combustion.  In the presence of platinum, researchers measured the engine's rate of water production at various temperatures and H2/O2 mixture compositions.  The results are shown in Figure 2.
Passage Combustion occurs when an oxidation-reduction reaction takes place between a reduced fuel source and an oxidizer, most frequently oxygen.  The reaction between hydrogen and oxygen forms water (Reaction 1)  and is highly exothermic and thermodynamically favorable.  At the completion of hydrogen combustion, essentially all H<sub>2</sub> molecules have been converted to water.  Nevertheless, at room temperature and atmospheric pressure, molecular hydrogen and oxygen can coexist quite stably.2 H<sub>2</sub> + O<sub>2</sub> → 2 H<sub>2</sub>O<strong>Reaction 1</strong>A group of researchers designed two prototype internal combustion engines, each of which could inject a hydrogen/oxygen mixture into a 5-mL combustion chamber at a total pressure of 1 atm and could repeat this process for several cycles.  In one engine design, a spark was generated to initiate combustion as hydrogen and oxygen were injected.  In another method, the combustion chamber was coated with a small amount of platinum powder.  Platinum dramatically increases the reaction rate at room temperature without the need for a spark.  The platinum itself is not altered by the reaction and can be reused.  Researchers measured the maximum power output of both engine designs under identical injection and temperature conditions (Figure 1) .    <strong>Figure 1</strong>  Relative power outputs of hydrogen engines with different ignition sources at 298 KThe power output of an engine is directly related to the rate of combustion.  In the presence of platinum, researchers measured the engine's rate of water production at various temperatures and H<sub>2</sub>/O<sub>2</sub> mixture compositions.  The results are shown in Figure 2.    <strong>Figure 2</strong>  Rate of combustion in platinum-coated engines under various conditions Adapted from Schultze M, Mantzaras J. Hetero-/homogeneous combustion of hydrogen/air mixtures over platinum: Fuel-lean versus fuel-rich combustion modes doi: 10.1016/j.ijhydene.2013.06.069 -When the platinum-based engine is run continuously at 300 K for 1 hour with 0.5 atm of H<sub>2</sub> and 0.5 atm of O<sub>2</sub> injected for each reaction, approximately what mass of water will be produced? A) 0.36 g B) 6.5 g C) 360 g D) 6,500 g Figure 2  Rate of combustion in platinum-coated engines under various conditions
Adapted from Schultze M, Mantzaras J. Hetero-/homogeneous combustion of hydrogen/air mixtures over platinum: Fuel-lean versus fuel-rich combustion modes doi: 10.1016/j.ijhydene.2013.06.069
-When the platinum-based engine is run continuously at 300 K for 1 hour with 0.5 atm of H2 and 0.5 atm of O2 injected for each reaction, approximately what mass of water will be produced?


A) 0.36 g
B) 6.5 g
C) 360 g
D) 6,500 g

Correct Answer:

verifed

Verified

Unlock this answer now
Get Access to more Verified Answers free of charge

Related Questions

Unlock this Answer For Free Now!

View this answer and more for free by performing one of the following actions

qr-code

Scan the QR code to install the App and get 2 free unlocks

upload documents

Unlock quizzes for free by uploading documents