Solved

Passage Kidney Stones Are a Common Ailment Affecting Approximately 10% of of Adults

Question 69

Multiple Choice

Passage
Kidney stones are a common ailment affecting approximately 10% of adults in the United States.  They form when solutes precipitate out of solution as crystals in the urinary tract, and they can cause severe pain in the side, back, abdomen, and groin.  Individuals who have been previously diagnosed with kidney stones have an increased probability of developing new stones relative to unaffected individuals.  Different measures may help prevent the formation of different kinds of stones, so analysis of the composition of stones that have been passed or removed can aid in preventing recurrence.  Stones can be ground into fine powders, dissolved in a small amount of solvent, and analyzed by infrared (IR) spectroscopy, as shown in Figure 1.
Passage Kidney stones are a common ailment affecting approximately 10% of adults in the United States.  They form when solutes precipitate out of solution as crystals in the urinary tract, and they can cause severe pain in the side, back, abdomen, and groin.  Individuals who have been previously diagnosed with kidney stones have an increased probability of developing new stones relative to unaffected individuals.  Different measures may help prevent the formation of different kinds of stones, so analysis of the composition of stones that have been passed or removed can aid in preventing recurrence.  Stones can be ground into fine powders, dissolved in a small amount of solvent, and analyzed by infrared (IR)  spectroscopy, as shown in Figure 1.    <strong>Figure 1</strong>  Schematic of kidney stone analysis by IR spectroscopyIR analysis of kidney stones from 50 individuals revealed the percentage of stones that contain each component, shown in Table 1 along with solubility data.<strong>Table 1</strong>  Kidney Stone Composition Parameters    Some studies indicate that potassium citrate, taken orally, may prevent the formation of calcium oxalate crystals, the most abundant component of kidney stones.  Oxalic acid, shown in Figure 2, is significantly more soluble than calcium oxalate.    <strong>Figure 2</strong>  Structure of oxalic acid and its associated anions with increasing pHPotassium citrate alkalinizes the urine, potentially causing a decrease in oxalate solubility and the formation of more crystals.  However, potassium citrate can also react with calcium oxalate according to the unbalanced equation shown in Reaction 1:CaC<sub>2</sub>O<sub>4</sub> + K<sub>3</sub>(C<sub>6</sub>H<sub>5</sub>O<sub>7</sub>)  → Ca<sub>3</sub>(C<sub>6</sub>H<sub>5</sub>O<sub>7</sub>) <sub>2</sub> + K<sub>2</sub>C<sub>2</sub>O<sub>4</sub><strong>Reaction 1</strong>Calcium citrate and potassium oxalate are both hundreds of times more soluble than calcium oxalate, so the presence of citrate and potassium ions can help maintain calcium and oxalate ions in solution.  This effect may be sufficient to overcome the decreased solubility that occurs at higher pH levels. Adapted from Primiano A, Persichilli S, Gambaro G, et al. FT-IR analysis of urinary stones: a helpful tool for clinician comparison with the chemical spot test. Dis Markers. 2014;2014:176165. -Which of the following bond types are found in the calcium phosphate present in 35% of kidney stones?IonicPolar covalentNonpolar covalent A) I and II only B) I and III only C) II and III only D) I, II, and III Figure 1  Schematic of kidney stone analysis by IR spectroscopyIR analysis of kidney stones from 50 individuals revealed the percentage of stones that contain each component, shown in Table 1 along with solubility data.Table 1  Kidney Stone Composition Parameters
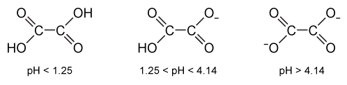
Passage Kidney stones are a common ailment affecting approximately 10% of adults in the United States.  They form when solutes precipitate out of solution as crystals in the urinary tract, and they can cause severe pain in the side, back, abdomen, and groin.  Individuals who have been previously diagnosed with kidney stones have an increased probability of developing new stones relative to unaffected individuals.  Different measures may help prevent the formation of different kinds of stones, so analysis of the composition of stones that have been passed or removed can aid in preventing recurrence.  Stones can be ground into fine powders, dissolved in a small amount of solvent, and analyzed by infrared (IR)  spectroscopy, as shown in Figure 1.    <strong>Figure 1</strong>  Schematic of kidney stone analysis by IR spectroscopyIR analysis of kidney stones from 50 individuals revealed the percentage of stones that contain each component, shown in Table 1 along with solubility data.<strong>Table 1</strong>  Kidney Stone Composition Parameters    Some studies indicate that potassium citrate, taken orally, may prevent the formation of calcium oxalate crystals, the most abundant component of kidney stones.  Oxalic acid, shown in Figure 2, is significantly more soluble than calcium oxalate.    <strong>Figure 2</strong>  Structure of oxalic acid and its associated anions with increasing pHPotassium citrate alkalinizes the urine, potentially causing a decrease in oxalate solubility and the formation of more crystals.  However, potassium citrate can also react with calcium oxalate according to the unbalanced equation shown in Reaction 1:CaC<sub>2</sub>O<sub>4</sub> + K<sub>3</sub>(C<sub>6</sub>H<sub>5</sub>O<sub>7</sub>)  → Ca<sub>3</sub>(C<sub>6</sub>H<sub>5</sub>O<sub>7</sub>) <sub>2</sub> + K<sub>2</sub>C<sub>2</sub>O<sub>4</sub><strong>Reaction 1</strong>Calcium citrate and potassium oxalate are both hundreds of times more soluble than calcium oxalate, so the presence of citrate and potassium ions can help maintain calcium and oxalate ions in solution.  This effect may be sufficient to overcome the decreased solubility that occurs at higher pH levels. Adapted from Primiano A, Persichilli S, Gambaro G, et al. FT-IR analysis of urinary stones: a helpful tool for clinician comparison with the chemical spot test. Dis Markers. 2014;2014:176165. -Which of the following bond types are found in the calcium phosphate present in 35% of kidney stones?IonicPolar covalentNonpolar covalent A) I and II only B) I and III only C) II and III only D) I, II, and III Some studies indicate that potassium citrate, taken orally, may prevent the formation of calcium oxalate crystals, the most abundant component of kidney stones.  Oxalic acid, shown in Figure 2, is significantly more soluble than calcium oxalate.
Passage Kidney stones are a common ailment affecting approximately 10% of adults in the United States.  They form when solutes precipitate out of solution as crystals in the urinary tract, and they can cause severe pain in the side, back, abdomen, and groin.  Individuals who have been previously diagnosed with kidney stones have an increased probability of developing new stones relative to unaffected individuals.  Different measures may help prevent the formation of different kinds of stones, so analysis of the composition of stones that have been passed or removed can aid in preventing recurrence.  Stones can be ground into fine powders, dissolved in a small amount of solvent, and analyzed by infrared (IR)  spectroscopy, as shown in Figure 1.    <strong>Figure 1</strong>  Schematic of kidney stone analysis by IR spectroscopyIR analysis of kidney stones from 50 individuals revealed the percentage of stones that contain each component, shown in Table 1 along with solubility data.<strong>Table 1</strong>  Kidney Stone Composition Parameters    Some studies indicate that potassium citrate, taken orally, may prevent the formation of calcium oxalate crystals, the most abundant component of kidney stones.  Oxalic acid, shown in Figure 2, is significantly more soluble than calcium oxalate.    <strong>Figure 2</strong>  Structure of oxalic acid and its associated anions with increasing pHPotassium citrate alkalinizes the urine, potentially causing a decrease in oxalate solubility and the formation of more crystals.  However, potassium citrate can also react with calcium oxalate according to the unbalanced equation shown in Reaction 1:CaC<sub>2</sub>O<sub>4</sub> + K<sub>3</sub>(C<sub>6</sub>H<sub>5</sub>O<sub>7</sub>)  → Ca<sub>3</sub>(C<sub>6</sub>H<sub>5</sub>O<sub>7</sub>) <sub>2</sub> + K<sub>2</sub>C<sub>2</sub>O<sub>4</sub><strong>Reaction 1</strong>Calcium citrate and potassium oxalate are both hundreds of times more soluble than calcium oxalate, so the presence of citrate and potassium ions can help maintain calcium and oxalate ions in solution.  This effect may be sufficient to overcome the decreased solubility that occurs at higher pH levels. Adapted from Primiano A, Persichilli S, Gambaro G, et al. FT-IR analysis of urinary stones: a helpful tool for clinician comparison with the chemical spot test. Dis Markers. 2014;2014:176165. -Which of the following bond types are found in the calcium phosphate present in 35% of kidney stones?IonicPolar covalentNonpolar covalent A) I and II only B) I and III only C) II and III only D) I, II, and III Figure 2  Structure of oxalic acid and its associated anions with increasing pHPotassium citrate alkalinizes the urine, potentially causing a decrease in oxalate solubility and the formation of more crystals.  However, potassium citrate can also react with calcium oxalate according to the unbalanced equation shown in Reaction 1:CaC2O4 + K3(C6H5O7) → Ca3(C6H5O7) 2 + K2C2O4Reaction 1Calcium citrate and potassium oxalate are both hundreds of times more soluble than calcium oxalate, so the presence of citrate and potassium ions can help maintain calcium and oxalate ions in solution.  This effect may be sufficient to overcome the decreased solubility that occurs at higher pH levels.
Adapted from Primiano A, Persichilli S, Gambaro G, et al. FT-IR analysis of urinary stones: a helpful tool for clinician comparison with the chemical spot test. Dis Markers. 2014;2014:176165.
-Which of the following bond types are found in the calcium phosphate present in 35% of kidney stones?IonicPolar covalentNonpolar covalent


A) I and II only
B) I and III only
C) II and III only
D) I, II, and III

Correct Answer:

verifed

Verified

Unlock this answer now
Get Access to more Verified Answers free of charge

Related Questions

Unlock this Answer For Free Now!

View this answer and more for free by performing one of the following actions

qr-code

Scan the QR code to install the App and get 2 free unlocks

upload documents

Unlock quizzes for free by uploading documents