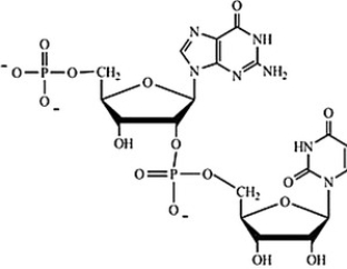
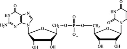
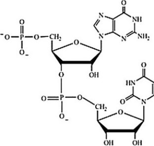
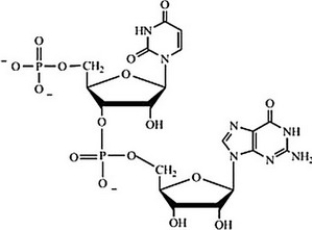
Which structure correctly represents the dinucleotide sequence GU that is found in RNA?
A) 
B) 
C) 
D) 
Correct Answer:
Verified
Q8: Which is not one of the elements
Q9: Which base is at the 5' end
Q10: The correct order of steps in each
Q11: Which statement concerning the replication of DNA
Q12: A virus lacks which of the following
Q13: Which of the following is an example
Q15: Which of the following part of cocktail
Q16: A virus that contains RNA is called
Q17: Which statement about RNA codons is not
Q18: How are the correct amino acids brought
Unlock this Answer For Free Now!
View this answer and more for free by performing one of the following actions
Scan the QR code to install the App and get 2 free unlocks
Unlock quizzes for free by uploading documents