Solved

A Reaction Has the Following Proposed Mechanism: for This

Question 101

Multiple Choice

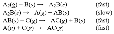
A reaction has the following proposed mechanism: A reaction has the following proposed mechanism:   For this mechanism, the species B would best be classified as a(n)  A) product. B) homogeneous catalyst. C) intermediate. D) heterogeneous catalyst. E) transition state structure. For this mechanism, the species B would best be classified as a(n)


A) product.
B) homogeneous catalyst.
C) intermediate.
D) heterogeneous catalyst.
E) transition state structure.

Correct Answer:

verifed

Verified

Unlock this answer now
Get Access to more Verified Answers free of charge

Related Questions

Unlock this Answer For Free Now!

View this answer and more for free by performing one of the following actions

qr-code

Scan the QR code to install the App and get 2 free unlocks

upload documents

Unlock quizzes for free by uploading documents