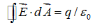
Which of the following equations can be used, along with a symmetry argument, to calculate the electric field of a point charge?
A) 
B) 
C) 
D) 
E) none of these
Correct Answer:
Verified
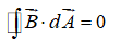
Q1: The statement that magnetic field lines form
Q2: A magnetic field exists between the plates
Q3: Displacement current exists wherever there is:
A) a
Q4: One of the Maxwell equations begins with
Q5: Two of Maxwell's equations contain a path
Q7: Which of the following equations can be
Q8: Which of the following equations can be
Q9: The magnetic field of Earth is roughly
Q10: Of the following places one would expect
Q11: The polarity of an unmarked magnet can
Unlock this Answer For Free Now!
View this answer and more for free by performing one of the following actions
Scan the QR code to install the App and get 2 free unlocks
Unlock quizzes for free by uploading documents