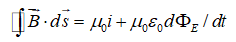
Which of the following equations can be used, along with a symmetry argument, to calculate the magnetic field of a long straight wire carrying current?
A) 
B) 
C) 
D) 
E) none of these
Correct Answer:
Verified
Q2: A magnetic field exists between the plates
Q3: Displacement current exists wherever there is:
A) a
Q4: One of the Maxwell equations begins with
Q5: Two of Maxwell's equations contain a path
Q6: Which of the following equations can be
Q8: Which of the following equations can be
Q9: The magnetic field of Earth is roughly
Q10: Of the following places one would expect
Q11: The polarity of an unmarked magnet can
Q12: If ![]()
Unlock this Answer For Free Now!
View this answer and more for free by performing one of the following actions
Scan the QR code to install the App and get 2 free unlocks
Unlock quizzes for free by uploading documents