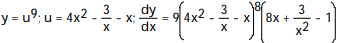
Write the function in the form y = f(u) and u = g(x) . Then find dy/dx as a function of x.
-y =
A)

B) 
C)

D) 
Correct Answer:
Verified
Q184: Solve the problem.
-The driver of a car
Q185: Solve the problem.
-Suppose that the dollar cost
Q186: Solve the problem.
-Suppose that the dollar cost
Q187: Solve the problem.
-Suppose that the revenue from
Q188: Write the function in the form y
Q190: Write the function in the form y
Q191: Write the function in the form y
Q192: Write the function in the form y
Q193: Write the function in the form y
Q194: Write the function in the form y
Unlock this Answer For Free Now!
View this answer and more for free by performing one of the following actions
Scan the QR code to install the App and get 2 free unlocks
Unlock quizzes for free by uploading documents