Multiple Choice
Write the function in the form y = f(u) and u = g(x) . Then find dy/dx as a function of x.
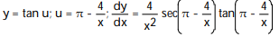
-y = tan 
A) 
B) 
C) 
D) 
Correct Answer:
Verified
Related Questions
Q187: Solve the problem.
-Suppose that the revenue from
Q188: Write the function in the form y
Q189: Write the function in the form y
Q190: Write the function in the form y
Q191: Write the function in the form y
Q193: Write the function in the form y
Q194: Write the function in the form y
Q195: Given y = f(u) and u =
Q196: Given y = f(u) and u =
Q197: Given y = f(u) and u =
Unlock this Answer For Free Now!
View this answer and more for free by performing one of the following actions
Scan the QR code to install the App and get 2 free unlocks
Unlock quizzes for free by uploading documents